Superlinearly Convergent Algorithms for Stochastic Time-Fractional Equations Driven by White Noise

Author(s)

,
&

Abstract

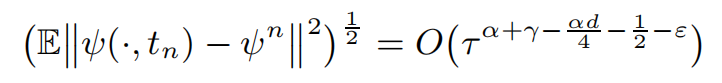
The numerical analysis of stochastic time-fractional equations exhibits a significantly low-order convergence rate since the limited regularity of model caused by the nonlocal operator and the presence of noise. In this work, we consider stochastic time-fractional equations driven by integrated white noise, where ${}^C D_t^\alpha \psi(x,t)$, $0 < \alpha < 2$ and $I_t^\gamma \dot{W}(x,t)$, $0 < \gamma < 1$. We first establish the regularity of the mild solution. Then superlinear convergence rate 

with sufficiently small $\varepsilon$ term in the exponent is established based on the modified two-step backward difference formula methods. Here $d$ represents the spatial dimension, $\psi^n$ denotes the approximate solution at the $n$-th time step, and $\mathbb{E}$ is the expectation operator. Numerical experiments are performed to verify the theoretical results. To the best of our knowledge, this is the first topic on the superlinear convergence analysis for the stochastic time-fractional equations with integrated white noise.

Author Biographies

  • Zhen Song

    School of Mathematics and Statistics, Gansu Key Laboratory of Applied Mathematics and Complex Systems, Lanzhou University, Lanzhou 730000, China

  • Minghua Chen

    School of Mathematics and Statistics, Gansu Key Laboratory of Applied Mathematics and Complex Systems, Lanzhou University, Lanzhou 730000, China

  • Jiankang Shi

    School of Mathematics and Statistics, Gansu Key Laboratory of Applied Mathematics and Complex Systems, Lanzhou University, Lanzhou 730000, China

About this article

Abstract View

  • 426

Pdf View

  • 22

DOI

10.4208/jcm.2505-m2025-0062

How to Cite

Superlinearly Convergent Algorithms for Stochastic Time-Fractional Equations Driven by White Noise. (2025). Journal of Computational Mathematics, 44(3), 819–842. https://doi.org/10.4208/jcm.2505-m2025-0062